Below is a reconstruction of the 2026 10 CQ QRS RagChew newsletter designed to support full text searching. This reconstruction was built using OCR, and will contain errors.
To view the Mailchimp original, click here. To search the entire newsletter archive, click here.
Contents
- CQ QRS RagChew
- Post Mortem 4th March 2026
- Reporting
- This Week’s Topic of interest
- Grey Line, Where Art Thou?
- On My Workbench
- The Kenwood TS-530SP
- QRZ?
- This Week – Andrew VK1DA / VK2DA
- QRZ? Who’s on the other end?
- Loss of a Great Mate
- CWops – CW Academy
- CWops 5 March 2026
- Morse Code Zoom Forum
- CW Practice
- Other News
- Readers’ Comments.
- Image Re-sizing Software
- QRZ? Not! on the Olivetti!
- Cheers, Mark VK2DI
- Morse Training Net
- What Now?
- WIA Technical Advisory Committee Chairperson Email: tac@wia.org.au
- Faint Beeps
- Bendigo Amateur Radio & Electronics Club
- More on the 2m Hourglass Horizontally
- Pub-Packing
- Prosign/Character/Signal of the Month
- Di-dah-di-dah-dit
- Next Tuesday’s Net
- Reports & Photos
- Post Mortem
- Material
- Teamwork
- About the CQ QRS Net
CQ QRS RagChew

This week your editor Mark VK2KI / VK6QI was back home after three weeks at South Gippsland Victoria.
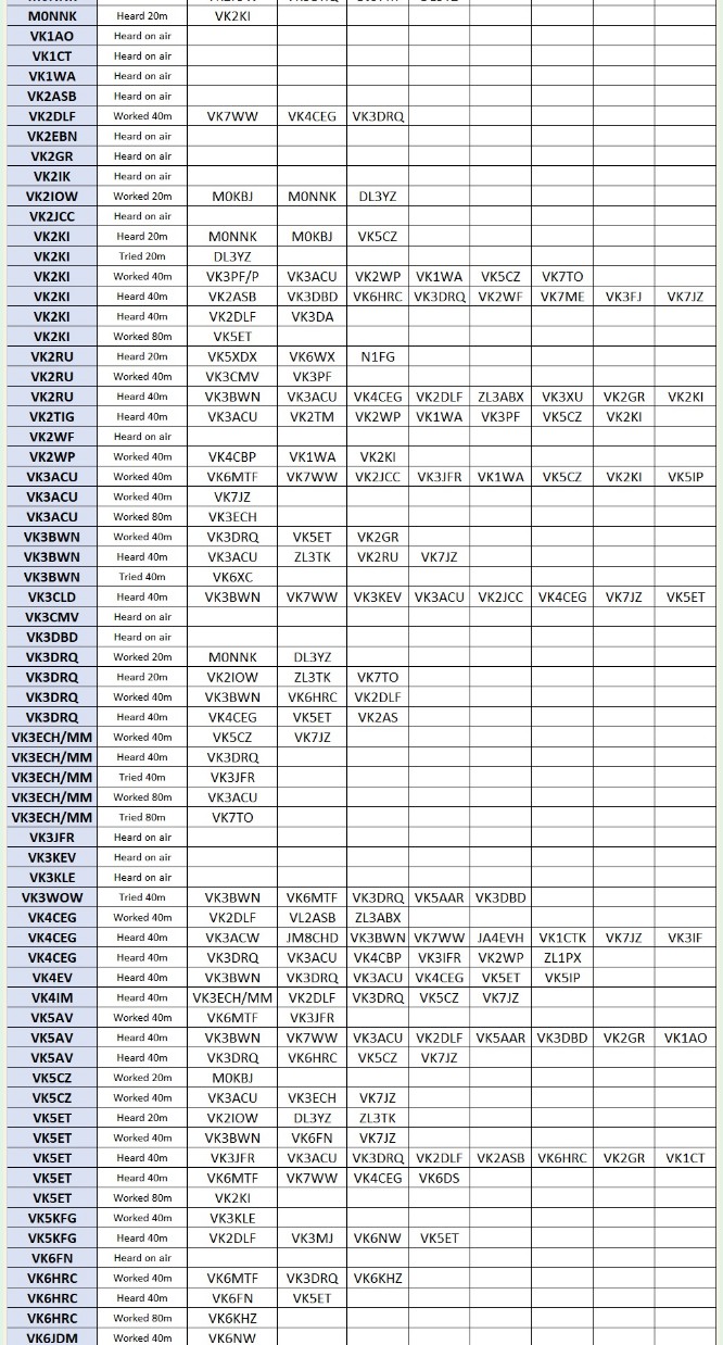
Boy oh boy! I nearly fell off my chair when I saw the spreadsheet produced by John VK2RU from the reports of this week’s CQQRS Slow CW Practice QSO net. 99 stations heard by 60 team members! This is phenomenal!
Well and truely ‘smashed our record from two weeks ago of 73 stations reported by 55 members. Obviously conditions were sensational but for at least 60 of our team members to.
Have been on air was unbelievable; on behalf of all of us who benefit from our net as a learning experience, thank you one and alll And to add to the joy, I’ve just been looking at the spreadsheet that John VK2RU compiles from the weekly reports – amazing!
And what’s more, all of our members’ written reports are just great; thank you for making the time to make some comments about what happened… and to make them interesting as well. I commend the reports for your reading pleasure!
This week Ross MONNK has graced us with yet another thought-provoking article. His target this week is questioning the normal refraction model of HF propagation, postulating that the grey-line propagation phenomenon may be caused by chordal ducting – a topic he’d tackled previously.
I’m really hoping that readers will be motivated to comment on Ross’ thoughts, and/or perhaps add their own experience of grey-line propagation; I’ve started the ball rolling with a few seed thoughts. I hope you enjoy Ross’ work as much as I do.
Also this week we’ve received three reports about the CWops Oceania CW Academy conducted by Chris VK3QB that’s just finished.
Very nicely done everyone; Chris will be chatting to some of the candidates in the up-coming Zoom videoconference meeting, and I hope that, and the comments in this newsletter will motivate more people to take the plunge and have a go at some non-QRS skill-building.
On a different topic, those who have made the time to read some of the doctrine about our CQQRS Slow CW Practice QSO net may recall that because we’re trying to encourage people to have a go, make some mistakes, but learn along the way, that some of the etiquettes are waived by necessity.
For example, no one owns the frequency they called CQ on – so if someone jumps in and grabs the station who responded to your CQ, well so be it. Number one, we’re trying to encourage people to have a go…
The etiquette can wait and will be learned in good time! The exception to this waiver of course is our DX team in Europe – they’re usually struggling with huge QRM levels as it is, and just moving off frequency is very difficult for them – so if someone callls you on their calling frequency – please issue an “UP 2 UP 2” and QSY.
But there is one etiquette that I would like to start encouraging – please avoid tuning- up on exact kHz frequencies. More of our mob use the exact 1KHZ frequencies in our net rather than the in-between frequencies.
If nothing else, it makes receiver tuning by new operators easier – those not familiar with the CW netting procedure for their equipment (which can be very difficult by ear with weak signals) can get it right most of the time if they use the whole kHz frequencies when tuning-in another station.
Combine that with the fact that propagation, local noise, the normal long QRS overs, ete means there’s often accidental tuning-up on the frequencies being used for QSOs.
Remember – even if you have a so-called automatic Antenna Tuning Unit, when you press Tune, your transmitter will put out a carrier on your VFO frequency.
Those of us with either Pi-coupler output stages, manual antenna couplers, or both, need to spend many seconds tuning up – again – likely causing interference to those struggling to have a QSO on your VFO frequency.
So something to keep in mind please: if you can, please try to avoid tuning-up on whole KHz frequencies. Nip up 500HZ – yes, you’ll still cause interference if there happens to be stations you didn’t know about, but at least you most likely won’t be dead on frequency, so they’ll have some chance of resolving the station on frequency and ignoring the carrier 500HZ away.
Something to think about. So back to our enjoyment…. I hope you find lots to enjoy in this edition of RagChew, thanks again to every one of the 46 people who contributed this week.
Welcome this week to Graeme VK3ZGA who hales from Mount Dandenong. Graeme is a fan of restoration – especially classic variable capacitors, vacuum tube devices and other similar works of art. Graeme has just nudged our membership over 250 subscribers!
Welcome Graeme and I hope we can help develop yet another passion!
If you’d like to find out a bit about our net, or would like to pass information to others about our Tuesday get-togethers, here’s the link to our website. bit.ly/CQQRSWebsite So here we go – on behalf of the CQQRS Editorial team, please enjoy the newsletter.
Niall kh DOSITa VK2KI / VK6QI Patrick John Beautiful South Bowning VK2IOW VK2RU NSW Milthorpe NSW on a track somewhere cqqrsnet@gmail.com non impsditi ratione cogitationis Nigel Richard Lance G4RWI VK6HRC VK7TO our other grey nomad Padbury WA Margate TAS




John’s spreadsheet above shows the known stations heard or worked on last Tuesday’s CQQRS Net; the comments in the team members’ reports (submitted via our webform bit.ly/CQQRSNET ) follow.
The comments were compiled for us by the clever software built by Nigel G4RWI and the layout was perfected by Patrick VK2IOW. Thanks again to Nigel, Patrick and John for the work, and to every team member who submitted a report –
[20m] The conditions were really fine again, but today the air wa: literally burning with dozens of stations being on the air. There was no contest so I wonder why. I was starting a little earlier and found a good path to Tasmania and New Zealand this morning.
At the end of my shift, a VK2 station was Calling me. But there were too many strong EU signal overlaying, to have a chance to copy it; sorry.. Have a gre EN sp loom anim ae pe

[40m] I was trying a brand new out of the box assembled sBitx rig, which developed a problem – cycling through all mode continuously, unable to stop it. Perhaps it’s the pi inside!!
[80m] Cheers to George VK2DLF for sticking with me as I had


[40m] Great night on 40m and 1 contact on 80m but the ove horizon radar made it tricky. QRP 5 W tonight. I also activated AU-8140 Bamganie State Forest that had suffered from the recent fires.
Great to get many QRS members in the log for POTA today (not included in the night time log).

[40m] Lots of contesters about tonight but despite that some good signals into Brisbane. VK5CZ (589) VK7JZ (599) VK3ECH/MM (338) VK2DLF (599) VK3DRQ (339 QSB).

40m] Wow, big night, 7 stations worked and 2 heard at time of pen down I had taken 11 pages of notes. Tonight was so much fun. I could have gone a smidge faster, but I did not want to encourage speed demons to run me over.
Coming off the back of the CWA course I am really pleased I was asking for a lot less

[15m] Apparently Edi DOOEMR heard me on 15m but I did not hear him.
[20m] Extremely lively with contest stations making a very full and sparking waterfall.

Now have new long-wire, all-band HF antenna. Testing shows so far it is out- performing the old EFHW cut for 80 m, due to much reduced losses rather than off- set harmonic relationships.
Indications were that trans-Tasman conditions on Tuesday were mediocre on 40 m.
[80m] Called CQ until 1200Z but no signals seen or heard on 80 m, just the usual regular bursts of QRN. Even on this band, the SWR is lower than presented by the previous antenna which was specifically cut for 80 m.
The LDG RT-11 coupler at the top of the tower is doing a remarkable job.
[40m] Having no means of operating at my temporary QTH, I have been enjoying operating “Toyota Corolla Portable’ from a POTA location for the last few Tuesday CQQRS Nets.
This week I operated from Billa Boya Reserve (AU-8494), a tiny POTA park close to Albany in Southern WA. Operating using my Icom IC-7300 and 10 W intc tenna, manufactured by a Chinese company ’73 ees pee PA a oe en FR Fn ARTS, OOH PRR Oa

At approximately 4m and the end of the wire at approximately 6m. Conditions this week were pretty good with very low QRM in my location and only slight OSB. The only exception being some strong radar signals on 40m.
I was pleased to log 13 QSO’s, many of whom I work regularly including Richard VK6HRC, Jordan VK3ACO, Max VK6FN. It was great to get Jim VK7JZ in the log despite some fading, probably as a result of my 10 W signal.
I gave him a 599 for a very strong and clear signal into WA. Hopefully I will once again be maritime mobile in the next few weeks. Thank you to Mark and his dedicated team for making the QRS net happen. 73 de VK6MTF Portable.
[40m] Good conditions. Many stations heard.
[80m] 80, 20 & 15m noisy. 80m much noise & QSB, str copy QSO with VK2KI


| was using just 4 to 5 watts from the Paraset that I have just finished building. The transmitter stage is the most minimalist crystal locked Tx possible and does chirp but the spectrum analyser shows it is otherwise clean.
I had a Paraset already that had been built some time ago by a chap in the superior islands to the east. It inspired me to make my own replica.
Collecting and using antique parts as much as possible made the project interesting The Paraset was designed at Whaddon Hall near Bletchley Park in the UK.
The sets were very compact for their time and became the main means of SOE operatives in occupied Europe to communicate with the UK.
I was receiving on a homebrew set that is much easier to use than the receiver in the Paraset which is a regenerative receiver with an audio amp stage.
Ithas a 3.5 to 7.6 frequency range all in one band which makes receiver tuning a job for those with fingers more dexterous than mine Managed to get heard by VK6NW in Mt Barker and had a nice QSO, thanks Wayne.
I notice since the war in the Middle East began that the “K” Russian beacon on 7.039 kHz has become a much stronger signal. I believe that beacon is in Vladivostok. 73, Donald


• eee SUE er Sar Ne NS 8S Ne Oe Nar 6 BO Bere ep me Ee
[20m] As we approach the equinox, long-path propagation seems to be improving even further. I had three VK contacts from home fc the first time. Many thanks to Patrick, David and lan for the chats.
Re-tuning the TS- 530SP for band-swaps isn’t a trivial task and still takes me five minutes. I’d rather be ay er py tae ee

[40m] I heard Stan, ZL3TK, for the first time in ages. When he finished his QSO I called him. I got a reply that confused me. I copied ‘u2’. I satin silence wondering what that meant, then I heard a VK calling QRZ?….
So I figured maybe Stan was telling me there are two stations on the frequency, so I stopped yntinue. I later had a ‘keyboard QSO’ with Stan, and he ling me to go up ‘two’ (kilohertz). He’d gone up in

Informed me that he’d been telling me to go up ‘two’ (kilohertz). He’d gone up in frequency and called me… but I was unaware of it. Stan has taught me quite a bit, and this was another useful lesson. It was good to work Graham, VK4CEG, again.
When I worked him last week he was using a QCX QRP transceiver. I have a QCX also, so I set it up earlier in the evening in the hope of having a 2,400 km QSO using our small, 5 watt rigs.
But when I heard him I had the antenna plugged into my bigger factory rig set to 7 watts and I didn’t want to miss the opportunity so I called him on that. Next time maybe….
[80m] Didn’t hear a single CW station on 80 m. There was some fairly strong interference and I saw a message on WhatsApp indicating that it might have been radar.
I saw a sideband signal appear briefly in the middle of our recommended band, but that’s all The 20 m band was crowded, mostly with weak signals. I heard some slower Morse, but did not clearly copy any call signs.
I’d pulled my Xiegu G90 out of the cupboard and set it up to give me the full 20 watts to try on 20 m DX contacts, but didn’t get the opportunity.
From Jeff WB2GDZ in Florida (where I live) and I was usin remotehams.com remote in Michigan for the contact.
[40m] For me it’s not evening, but morning! Also, Mark (VK3MJ) was very weak using the remote so I was listening to him with a KiwiSDR in Tasmania while transmitting from the remote in Michigan.
This probably does not count as a completed contact because of this.

[20m] I was very excited when I heard after a long time QRT, OM Stan just greeting OM Mike. Stan was 572 with some QSB, very FB.
It was a very nice starting on 20m with good signals coming through and copying OM Mike 552, never had I heard him so well but that enjoyment didn’t last long. Soon after ts, the band became INUNDATED wid QRM. My request

[80m] I had to go out, and so missed the net, except I couldn’t help checking to see if I could hear anyone with my new 80m antenna. When I heard Brian I might have got overexcited and forgot where I was, and used the paddle as well as the straight key.


Unrortunately, not much acuvity On om last nignt trom my area In Vvs. From your editor Mark VK2KI at Beautiful South Bowning NSW
[15m] I didn’t hear Edi DOZEMR on 15m this week, but I thought I heard DL3TK, but it may have been Stan ZL3TK perhaps?
[20m] When I tuned-in and checked Mike DL3YZ‘s DXperiment status page, I was surprised to see that Mike had already finished, and that Simon MOKBJ had also left the frequency to tune around.
I then realised that once again I had managed to miss the start of the DXperiment!_ Bugger. Anyway, I heard Ross MONNK in and out of the noise with QSB, despite a likely antenna feed-line problem here.
At one stage I copied “XIEGU G90” clearly on a QSB peak in his QSO with a DL station. I then listened to Mike DL3YZ chatting to Ross, whose signal had dropped into the noise.
I tried to work Mike after they finished, but he was down to RSN 311 in the QSB; Mike had responded but I didn’t get a report, and shortly later he disappeared – reporting on his status page that I’d been drowned by some QRN.
Meanwhile I used our CQQRS WhatsApp Alerts page to tee-up with Simon MOKB4 to have another try. He swung the dials on his mighty TS-530SP to come back to 20m, but by the time I finished the attempt to work Mike, Simon was barely audible in the noise – except on the occasional QSB peak.
I was pleased then to hear him hook-up with lan VKSCZ. Considering the suspected antenna feed-line fault (see below), I was surprised that I heard anything at all on 20m.
Nevertheless, sounded like everyone had some fun exploring the long-path / grey-line propagation – see Ross MONNK’s article below on his theory on grey-line ducting.
[40m] If you’d read the reports from Nigel G4RWI who had been house-sitting at CQORS HQ in Beautiful South Bowning for the previous weeks you may recall that before I left, we suspected < fault with the 300 Ohm TV feed-line to my 80m double-extended Zepp doublet (the manual Pi- coupler that I use was tuning with different settings to normal); I expect one of the balance feed conductors had broken.

Teed conauctors Nad Droken. Also due lo my stupiaily, Nigel nag tested the antenna- side FET in my noise canceller, and confirmed that indeed, it wasn’t rated for 10 Watts or RF. So not only did I have a dodgy feed-line, but no phasing noise canceller either.
Amazing that I got out and was heard by anyone actually! Nevertheless, I still managed to hear and work a few people – although I could hear that signals were well-down compared to the VK1HF Snowline KiwiSDR, and what others were reporting.
Still, six QSOs and 10 stations heard across the evening was good for me My last QSO on 40m was with Lance VK7TO who had remembered to post a reminder about the lunar eclipse on our CQQRS WhatsApp Rag Chew group; I reckon many of our team would have missed out otherwise, distracted by the on-air activities.
Although my antenna problem, and slow but deep QSB made copy difficul for me, I was pleased to hear Lance use our previous prosign of the month
Lance is a pretty experienced operator, so he probably knew that one already, but I was pleased 1. to hear it in use and 2. to recognise it myself.
[80m] As the evening progressed, I was using the A/B function on the Snowline KiwiSDR to check 80m; so when I heard John VKSET sending his nice ambling CQ on 3550KHZ, I went through the motions of trying to match the odd feed on my two x five-eighths ir phase (with only half a balanced feed-line), and tried in vain to get the noise cancelle cancelling.
John was only RSN 232 with the QSB so I ended up reverting to using Snowline to get something out of the conversation, Thanks John.
From Also from your editor Mark VK6QI at Beautiful South Bowning NSW via the
LEGA CRUST BS RS UES LELRSL SEU Eat ES) ISDS) UY EAT US U7 UU FEM UL RECS A MOL S CLUSSTUICE side FET in my noise canceller, and confirmed that indeed, it wasn’t rated for 10 Watts or RF.
So not only did I have a dodgy feed-line, but no phasing noise canceller either. Amazing that I got out and was heard by anyone actually!
Nevertheless, I still managed to hear and work a few people – although I could hear that signals were well-down compared to the VK1HF Snowline KiwiSDR, and what others were reporting.
Still, six QSOs and 10 stations heard across the evening was good for me My last QSO on 40m was with Lance VK7TO who had remembered to post a reminder about the lunar eclipse on our CQQRS WhatsApp Rag Chew group; I reckon many of our team would have missed out otherwise, distracted by the on-air activities.
Although my antenna problem, and slow but deep QSB made copy difficul for me, I was pleased to hear Lance use our previous prosign of the month
Lance is a pretty experienced operator, so he probably knew that one already, but I was pleased 1. to hear it in use and 2. to recognise it myself.
[80m] INET A TAITITA I RETR ROT GST ninAliharAalHincrionlAntihols noradinollcricinelic
[15m, 20m, 40m, 80m] I didn’t get much time to listen on the Southern Electronics Groups’ Hoddy’s Well KiwiSDR this week; there didn’t seem to be much WA activity when I listened earlier on, until the lower bands opened to the East.
I couldn’t hear myself from VK2 on 20m during the DXperiment, but then again, who knows what my antenna was trying to do? T from home at Beautiful South Bowning NSW |

On 80m when working John VK5ET from home at Beautiful South Bowning NSW I could see that he had a decent signal into VK6 so I attempted to bring up the SEG’s VK6SR Remote at Jandakot; unfortunately the Gremlin In Charge of the Remote won – I couldn’t even launch the Remote from the RCForb application, despite a couple of tries.
FATT SI II IIIT TH I Pt at La IE In eI ANIA INI Another enjoyable evening thanks. I used my home assembled QCXmini 5 watt radio and again impressed with its performance hearing JA, VK7 and ZL plus many VK3 and VK2.

[20m] Could just copy MONNK but unable to call him.
[40m] Good to hear everyone chatting away. Regretfully du to other commitments I couldn’t join in!

[40m] Spent most of the evening listening on 40m and helping my daughter get a doof picture of the lunar eclipse!!

[40m] Last Tuesday I did not get on air at all. My conscience prevents me from having fun while the war is raging on. Sky over Tel Aviv is not fireworks and smoke over Teheran is not from home stoves, bombs and missiles are raining down on civilians.
People are dying and that is distressing. 160 irls killed in lran no MSN mention here, total news censorship in rs ee a fp Es ws ws oe Os ee Ce net)

[20m] I didn’t stay long on Tuesday evening. I worked only the 3 DXperiment stations of Mike, Simon and Ross. Conditions on 20r were the best they have been in the last few weeks and I had good copy on all three, though Mike was the strongest as usual.
I did try to listen for Edi, DOZEMR on 15m, but did not manage to hear anything. I heard Stan, ZL3TK calling Edi, though without any response. Stan hada strong signal at my QTH, not that surprisin and my vani wae nonintad CE tawarde Naw

[20m] At about 14036 kHz I Called CQ and had good 579 both ways QSO with F5GPE. Then of course as usual, a cacophony of callers popped up when I signed.
DK8LG first contact and I escaped the QRM by a slight move to 14048 i1 case there might be one of the QRS friends around a quiet fean: ma (SL) Ahrarinhkt OADI II fallarand kv MRIZAAAL #¢4HANM a larr:

Pile up. In the background I picked out a weak signal that seemed to click in my memory XZ and M3 and bits. I use full BK-IN so do hear folk calling while I transmit. I sent Pete ?? M3 ? and the reply came back.
Yes it was M3KXZ, Pete who I have worked a number of times over a year or two. Pete goes off to work early usually, sets up his vertical aerial by the side of his Jeep in a quiet spot and radiates 5 watt from his FT 717.
I seldom have a problem in copying him, although QRM (of folk calling me without listening when I am in QSO!!) is the bugbear.
We had a reasonably good chat and I found out that he was actually at home today with a piece of wire hung up in a tree (hidden as his XYL did not approve of wires in garden) but it worked; he was about 439 and I got 579 back again. “Good on yer” Pete!
It was meal time. I signed but was called by OH9UA and we had a short QSO – well I don’t hear Finland every day.
Then it was time for a meal and some 50MINS later I returned to the radio, looked on 14048 and found Simon MOKBJ with a 449 and 559 QSO. Then SZ30A called whic planted a ?> in my brain and we had a “rubber stamp” QSO.
They annoy me; he was 449 at best, where the heck was SZ??; he sent me 599. I supplied my name and got 599. I requested his name and got 73 so I assume he was not reading me a 599 at all (Surprise surprise!).
Afterwards I looked up and found it was Greece (they are all SV’s to me).
[40m] Last but not least I had a quick look on 40m and was pleased to hear VK6MTF and we had a nice QSO, which culminated in me looking at his interesting QRZ page. A fellow Landrover Nutter and yachtsman too. Obviously more successful than Me in that dept.
Post Mortem 4th March 2026
Bae Se SS SSE eS er SS SS SS Care ee 6) et Ne eee By Richard VK6HRC Seven on the VK6RLM rptr and AllStar/Echolink hub.
SAA AMIS ABT Nd A ELE fl I VK6QI Mark ZL3MH Murray VK6KD David VK6FN Max VK6NW Wayne VK6HRC VK6MRB Mulligan swl

Mark back home now with an ever increasing job list managed to get on and have fun. Listened out for Edi DO2ZEMR on 15m unfortunately nothing heard and on 20m one partial contact and was only just hearing Simon MOKBJ but no problem with lan VK5CZ.
On 40m worked six, HEARD10 and on to 80m to work John VK5ET. Murray checked in from his frosty property near Christchurch comenting on the lovely green pastures and snow on the mountains some 70 kilometres away !
David listened to the activity on 20m and worked Wayne VK6NW on 40m later. Max took delivery of a new Paddle made some adjustments and worked two on 40m and is very happy with his new toy .
Wayne worked eight on 40m heard some of DL3YZ Mikes transmisson through the noise and nothing of Edi DO2ZEMR on 15m. 80M very noisy.
I worked four on 40 and one on eighty also listened out on the Ironstone Rage Kiwi sdr and was hearing Mike DL3YZ, not a strong signal but easy copy. Thank you all for being there last night and this morning.

Reporting
After next Tuesday’s Group, please remember to send me a list of who you worked and / or who you heard using our web form here:

Even if you didn’t hear anyone, we’d still like to know that you had a go. And to make your report more interesting, please consider sending a photo to be attached.
If you have a photo (compressed if possible) that you’d be happy to include, please email it to: cqarsnet@gmail.com So, please help attract new and old team members to have a go by submitting your report each week.
Submissions close 1300 (Eastern Australian Summer time) on Thursdays.
This Week’s Topic of interest
Grey Line, Where Art Thou?
The sum total of my knowledge of propagation can be written on the back of a QSL card. Nevertheless, and in keeping with very many of my fellow license holders, that doesn’t stop me speculating about it.
My current speculations revolve around the propagation required to make our DXpeditions happen during our beloved QRS Net. There are two theories in play (“theories”, because I don’t think anyone really knows what happens out there).
Both are equally improbable. But then so too are QRP contacts between EU and VK, and we’ve had those, proving that (like the Green Flash at sunset) sometimes the improbable is true.
The theory that I first subscribed to involves the classic “bouncing off the lonosphere and the surface”. I’ve written in Ragchew about this before, so regular readers may remember this diagram:
The sea surface on The Long Path might well constitute a mirror for radio waves but the attenuation of my measly 20 Watts at each of the seven reflections would surely kill my signal before it arrived in Australia.

The next theory was Chordal Hop, and I’ve written about that too. To quote myself: “Chordal Hop propagation uses the night time F-layer. This is when the F-layer loses its ionisation density and thus its ability to reflect signals back to Earth.
At these times, the F-layer may be just dense enough to reflect the signal but at a less steep angle, causing the signal to hit the F-layer again as the layer dips down around the curvature of the earth (a “chord” is a straight line between two points on an arc,
Hence where the name “Chordal Hop” comes from). It’s a bit like laser light ina curving fibre optic cable.” ‘As you can see from the diagram above, The Long Path travels across the night-time side of the Earth, joining the two stations by the shortest route over the surface of a sphere.
For reasons that probably have more to do with poetry than science, I now suspect that our DXpedition signals are experiencing Chordal Hop along The Terminator, the fabled Grey Line, the boundary between day and night, dawn and dusk.
The interesting thing about this “Terminator Ducting theory” (my invented term) is that the position of The Terminator will shift as the Earth moves around the sun.
So, in the winter the Earth’s shadow will be wider, and then narrower in the summer, regardless of which hemisphere you’re in. When I lived in Scotland (57.5N), there was no true night in June – just an almost-darkness and the sky pale in the North.
And in December, it was only light from 8 am till 4 pm. So, now that Spring is here and the mornings are getting lighter, how far away can The Terminator be and yet still capture my DX transmission?
And what about the position of the opposite Terminator at the VK/ZL end? Let’s assume that the average Skip Distance on the 20 metre band is 3000 km.
| hope you can make sense of thi diagram. It suggests that The Terminator should be no more than 1500 km away to tho VAlact (pn:

Km away tO ee the West (otherwise my signal will be reflected back to the surface rather than ‘ducting’). The Earth rotates at 15 degrees an hour and my latitude is 50N.
Unfortunately, my maths is not up to the calculation and life is too short, so I asked Google Gemini. The result is that I might reasonably expect the latest time for Chordal Propagation to be 1 hour and 24 minutes after the passage of The
At the time of writing, the period of my ‘Civil Twilight’ (when I’m under The Grey Line) is between 6:28 am and 7:01 am local. Therefore my latest time for DX (if my theory is correct) should be 8:25 am local (0825 UTC, 7:25 pm in Sydney).
Apparently, night falls slightly quicker in Australia because Civil Twilight in Sydney (latitude 34S) is only between 19:34 and 19:59. So, if I send a “CQ VK’ as late as possible, The Terminator will be almost upon the Eastern seaboard.
Actually, this theory of mine must be a load of cobblers because DL3YZ Mike’s radio is 1000 km east of here and he’s had successful DXpedition contacts as late as 0930 UTC. Maybe our signals do one bounce in the Atlantic before reaching The Terminator.
Maybe our signals drop out of the lonosphere when they reach the distant Terminator (hopefully within 1500 km of their target). Anyway, whatever is happening, it can’t be purely “Chordal Hop along The Terminator”. I do rather think this one’s gone for a Burton.
Does anyone else indulge in these idle speculations? Or am I going round the twist?

[Thank you Ross – this is brilliant; you won’t believe the joy your articles bring to our readers, especially those who like me enjoy the challenge of thinking outside the box! !
Just wish that I could think this clearly when questioning our poor understanding of such things like propagation. The Scientific Process starts with questioning current understanding, creating a range of alternative theories, then using experimentation to disprove them.
I’m hoping this article (and your previous one on the topic in RagChew 39/2025) will bring some comments and counter-views based on different operators’ experiences and knowledge. Comments to cqqrsnet@gmail.com please.
I’ll kick off those comments in Other News below.]
If you have an article or two that you think might be of interest to our readers, please let me know so we can share more thoughts and ideas; for guidance on writing for RagChew, see Articles below. Please email material to Mark VK2KI: cqqrsnet@gmail.com
On My Workbench
The Kenwood TS-530SP
From Simon MOKBJ I’m very thankful for being introduced to the TS-530SP. Will GMOHKS, who introduced it to me after we had a long CW rag-chew and email exchange, very kindly sent me four S2001A final tubes and a 12BY7A driver, asking nothing for them The radio is pretty much immaculate.
Our editor Mark asked whether this model automatically corrected the digital display to show the zero-beat frequency when a CW signal was correctly tuned.
The answer is no – the display shows the VFO frequency on receive and the CW zero-beat frequency on transmit. The display is reading about 300HZ low, so I need to recalibrate that.

The stability is pretty amazing. The VFO will drift abo of receiving and a similar misalignment of the VFO/T: same when transmitting. That’s easily overcome for I control while monitoring signals on a web-SDR.
I’m also learning to be a bit more relaxed about precision and embracing the analogue era. I often pause and wonder at the myriad of shifting voltages, phases, charges going on inside the box. My Xiegu G90 is brilliant but inside, it’s all numbers!
One of the nicest features on the SP model is the IF SHIFT control: “By adjusting two local oscillators in perfect synchronisation, the operator can attenuate adjacent-channel interference without altering the audible pitch of the desired station.
This creates a tuneable “electronic window” that provides a sophisticated level of analogue signal processing for rejecting unwanted “splatter” or noise.” It works extremely well.
The stability is pretty amazing. The VFO will drift about 100HZ in the first 15 minutes of receiving and a similar misalignment of the VFO/TX frequency takes about the same when transmitting.
That’s easily overcome for local QSOs by using the XIT control while monitoring signals on a web-SDR.


| picked up an AT-230 ATU to complement the radio and an SP-520 speaker to sit on the shelf above. It all works nicely. I studied electronics from 1981-1984 but our course and textbooks had all moved on from valves.
I was eager to learn at the cutting edge and didn’t want to bother with the old-fashioned stuff so I have only had a basic understanding of valve technology.
It’s been really fascinating to spend time learning about its development and I am in awe at the delicate processes that went into producing these beautiful and reliable things.
The worst of my cold is over, so I should be able to do my shift at Bletchley Park on Saturday. Jo’s still recovering from her broken arm, which she sustained in a fall on the ice at the start of the year. We’re enjoying the first hints of warmer weather.
Yesterday’s high of 15C was the warmest of the year so far.

[Thanks for the chat about your new shack-heater Simon. My father (Bob VK6SB now SK) bought a second-hand TS-520 from Doug VK6SP, not long after that model came out; Doug (now SK) later became VK6OI, and Doug’s son Lewis how has the later callsign…
Is one our our team members. The 520 had a remarkable speech processor which added an S-point on SSB; I bought my father’s all-valve Yaesu FT-200 which served me well for many years. Lewis had an FT-200 remote controlled from the boot of his Mazda Capella…
When I was old enough to drive, I came across a huge solid state inverter which I bolted to the passenger-side floor allowing my FT-200 to be bolted under the steel dashboard of my $300 HD Holden.
A friend of mine bought a 530 when they came out – one of the first mid-priced transceivers to have a digital frequency display (there was a really ugly Uniden that pipped Kenwood to the digital post – but the Kenwood was a much nicer bit of kit).]
What’s going on on your workbench? If you have an article or two that you think might be of interest to our readers, please let Mark VK2KI know; email to cqqrsnet@gmail.com For guidance on writing for RagChew, see Articles below.
QRZ?

This Week – Andrew VK1DA / VK2DA
From Canberra and Yass NSW Weakening in the onslaught of Mark’s entreaties for items for the CQQRS net newsletter, I have decided to write a few words about my history with Morse code.
My Morse story Started at the age of about I<, when my older Drotner wanted someone to be on the other end of a room-to-room QSO.
He was 14 at the time and was building his Morse skills in preparation for the AOCP exam he would be able to take once he turned 15. Such were the rules at the time, the mid-60s.
There was only a ‘full’ licence and a limited licence which did not test CW skills and did not allow operation on HF bands. The practice setup was simple, a tone oscillator and amplifier (a 6v6) driving a pair of speakers and Morse keys in series.
One speaker and Morse key was in one room and the other was in the second room. By closing the shorting bar on your key, you allowed the other operator to reply to your questions with his key.
Typically you would send a question to the other operator, send BK and close your shorting bar. He would open his shorting bar and send a reply and a new question. This was good practice for on-air QSOs.
The Morse exam for the AOCP was at 14WPM, 5 minutes of receiving plain language and 2.5 minutes of sending plain language text, with numerals and minimal punctuation.
An important factor was starting your sending test by sending the CT symbol and we were told we would be failed if we didn’t send that. Also error corrections were 8 dits, nothing else was accepted.
You had to learn how to send 8 dits, my method was to send SSI as one string. I still count out my dits if I am a bit rusty. The Morse exams were conducted by PMG telegraphists who were very good at Morse.
When I did my test, I started sending my 14WPM Morse text, maybe a bit fast, and after about 20 seconds, the examiner said “that’s enough” and gave me a pass. Incidentally the theory exam was to answer 7 out of 9 questions, in essay and circuit diagram format.
It was much like a physics exam. “Using a circuit diagram marked with the values of each component, explain how a 100 Watt plate-modulated transmitter stage works”. None of that multi choice stuff.
One of the important sources of receiving practice on the East coast of Australia was a nightly Morse practice broadcast on 80m by VK2AWI, later VK2BWI. This broadcast contained 5 minutes of plain language at 5, 6, 7, 8, 10, 12 and 14WPM.
Some senders added a segment at 16 wpm. There was a roster of operators and ‘some of the callsigns who volunteered for that were Frank VK2ACQ, Doug VK2AUC, Don VK3AKN, Ernie VK2EH and once he had his licence, Roger VK1RD.
Another operator who may be recognised by readers was Allan VK2GR. In time I got my licence in 1965 and took over the Saturday night Morse transmissions from Roger who had uni work to do.
My enthusiasm got the better of me and I added an 18 wpm segment using a bug, which I never really liked though other members of the voluntary net said it sounded ok.
‘Sending Morse on a hand key in an uninsulated garage in suburban Canberra Was not easy in Winter. At about the 20 minute point in the 45 minute broadcast I used to. stop and try to warm up my sending hand because it was freezing-up.
The outside air temp was -2 and I think in the shed it was -4. The texts we used for the broadcast were bland text cut out of a magazine, with the 15, 30 and 45 second points marked in blue or red ink dots, with each minute marked with the 1, 2, 3 or 4.
The technology was pretty basic. I think I had about 30 or 40 different text cards which had the original article glued onto it and the breaks for callsigns between each § minute block.
I logged the identification number of each card sent so I could avoid sending the same one too soon after it was transmitted. Cut and paste technology was alive and well. But no word processors.
But here is a copy of my first design of QSL card, a backyard job. The station receiver featured here was an AR7, which was an Australian copy

Of the HRO receiver, manufactured during WW2. Coil boxes plugged into a giant hole in the front of the receiver to change bands.
It was converted to use miniature tubes by the previous owner, donated to the Canberra Amateur Radio Club and inherited by my brother for his first station. Also in the pic is the remote VFO with the hand made dial and our PMG standard hand key.
The bloke in the pic is a 15 year old version of me – taken in 1965. This QSL was to VK7PF (SK) confirming a cross-mode contact via Oscar 6 in 1973. It was somehow included in a collection of QSL cards bought by a collector and sent to me in case I wanted it.
The transmitter on 2m was my home station FM rig, modified for grid-block keying of the 2E26 output stage, and the crystal for 146.0 was dragged down to about 145.98 just on the edge of the satellite segment. The receiver was a FT200 on 10m.
Most operation was on SSB but many ops were quite willing to copy my CW and work me cross-mode. The Oscar 6 satellite transmitted on 10m in this mode and was easy to hear. I used a half wave dipole lying on the tiled roof of my house.
The pic on my QSL card was taken using an old school 35MM camera, used as a station photo on that card, which resembles a ransom letter due to the various fonts. Hilarious… no phone cameras in those days… no mobile phones at all.
Note that I didn’t expect the card to still be in force in the next century. The 19 prefix was preprinted. It’s not really directly relevant to the QRS net but that transmitter was the one built by my brother and used for the Morse broadcasts.
A few years later I found a key paddle advertised in AR and learned to use it with a simple keyer circuit that was also published in AR. It used the early RTL logic chips, which are extinct now.
I think Mark still has that keyer with its New Zealand-made Galbraith GK11 paddle. Being then able to send more comfortably at contest speeds I continued with that keyer until I bought and built a semi-kit for the Curtis 8044 chip, which had features like character and word spacing.
Later I built a “CMOS Super Keyer” which was featured in QST and the ARRL handbook in the early 90s. I recently chanced upon the designer of that keyer on the SOTA forum and thanked him for the design because it was so good.
He said it was only discontinued because the processor chip went out of production. It had its own macro language allowing you to include message 2 in message 1, automatically beacon, etc. Serial numbers could also be included.
Nowadays my CW contacts are mostly SOTA and parks contacts, which are fun from the field. I’ve been making long path QSOs into EU since I first activated a SOTA ‘summit in 2013 near sunset.
With a 5 watt radio it is very rewarding to be called by a barrage of G, F, DL, OK, SM and EA callers.

These sota and parks contacts are about as simple as a legal contact can be, callsigns, reports and 73. Also for medical reasons I am using my home station remotely and the software has no provision to plug in a hand key or paddle, only keyboard entry is provided for.
I’ve discussed some of the Remote software in recent RagChew newsletters. I have made a few CW contacts with the remote system. Getting the speed right and keeping the word spacing is simple with some of the remote software but more difficult with others.
There are some remote software packages from European designers that do let you send with a key or paddle but I haven’t invested in the hardware or software for that. A.comment on CW decoders: none do a particularly good job.
Although the KX3 attempts to decode incoming signals I rarely look at it. Fading, QRM, QRN, inconsistent sending all mess them up completely.
1am planning to operate one of the HQ stations for the Commonwealth Contest in mid march this year, and will probably operate in the field for that event. Contests are the best way to extend your copying and sending speed.
Ifyou can’t copy anything at 20WPM it is difficult to join in one of those contacts as every station you hear seems to be using 30+wpm. I think the 30+ ops are rare, most are between 20 and 30, like me.
But all you need is to copy callsigns, made easier if you monitor someone working a string of contacts and giving their own callsign each time. You might not have the call right initially but after hearing it carefully a few times you can get it right.
Then it is a rubber stamp QSO where you give an RST of 599 and your contact serial number. Not everyone’s cup of tea but even listening to a dozen contacts will increase your receiving speed. Try it. Andrew VK1DA/VVK2DA, Yass and Canberra
QRZ? Who’s on the other end?

Loss of a Great Mate
From John VK5ET I had the heart breaking decision of putting my much treasured Jipsi to sleep early in February. Her health had deteriorated over the past month such that she could no longer maintain her balance & kept falling over.
The vet said that at 17 years & 3 months, it was Jipsi’s time to go to sleep.
It was devastating to be there & see my cherished mate be put to her final sleep. She has a place in our back yard under the orange tree, always close to us, now at peace. I miss her terribly as she was my shadow for all those years, whether camping,

Jipsi with me on our last portable Tuesday night ORS net at Dublin late last year. She was probably head copying CW )
CWops – CW Academy
Nhat I really learned from my CW Academy Advanced Course
From Peter VKSWOW Eight weeks ago, I started a CW Academy Advanced Course, full of hope that, by the time I completed the course, I would be able to send and receive Morse code et SOF errr

CUUTSS, I WOU DE ave W SEI all FOUCIVe MIUISe CUUL _—— za at 25 wpm. Whoah, hang on, you might say. Why are you writing about this in a newsletter pitched at slow Morse operators? Good question. And thereby, if you’re willing to be patient, hangs a tale…
To tell the truth, I did think achieving the goal I had set for myself might prove a stretch. Indeed, if you’d asked me how I was going just six days before the course ended, I would have given you a pretty grim response.
I’d just got off the air after a 20 minute QSO with a very kindly and highly competent operator I have come to know through the Tuesday night CQ QRS group.
He had no sooner answered my 25 wpm CQ — my course advisor having more or less insisted that I call CQ at this speed — than it quickly became apparent to both of us that my sending had descended into a hopeless mess. I couldn’t send my own callsign.
I couldn’t see the word “the”. Slower and slower we went, at the prompting of the other operator, until in the end we were down to 18 wpm, and still my sending had not improved. After 20 minutes of this, I was feeling about one inch tall.
By time I had stuttered out a final “e e” and taken myself off to bed, I was convinced I had been wasting my time for seven weeks.
Three days later, shaking like a leaf, I again called CQ at 25 wpm, and subsequently had a delightful, humour-filled exchange with another operator that extended over more than half an hour, most of it at 27 wom. Did I send every phrase perfectly?
Certainly not — but my sending was far from a total mess. I could really feel all the training that I had been doing over the past seven weeks “kicking in”. The whole exchange felt really exhilarating.
“That’s why I did the course” was how I went to bed feeling that night. Now that I have completed the course, I feel I have a much better-grounded sense of where my strengths and weaknesses as a Morse code operator lie, and I know what it is going to take if I want to address some of those weaknesses on my own.
Clearly, consistency in sending well is NOT one of my strengths. I have found that my skills at head copying ordinary ragchew conversation at 25 wpm are pretty good, probably because of all the Morse code audiobooks I have listened to.
I know, too, that my skills at head copying, or even typing, callsigns sent at the same speed are rubbish (also because of all the Morse code audiobooks I have listened to).
I have learned not to fear and detest rufzXP, a Windows program designed to improve callsign reading skills, and I have become familiar with, and can see the point of regularly practising with, MorseRunner, even though I have zero interest in ever becoming a CW contester.
The biggest change that has come about in me as a CW operator as the result of my participation in this course, however, has been a change in mindset. It’s not that I have become more serious about my CW.
Rather, I have become more curious about what I might be able to achieve if I’m prepared to go on challenging myself the way I have over the past eight weeks.
It goes without saying, of course, that a preparedness to surprise oneself is not a prerequisite to being a radio operator. |, for one, would never suggest that it should be.
Lf, however, you ever do get curious about what you might be able to achieve as a Morse code operator after engaging in a period of intense practice guided by a skilled and caring mentor, I can certainly recommend a CW Academy course as a good way of finding out.


Training utlities Known tor their efrectiveness drawn trom practical experience, and to suggest a considerably wider range of training material than is currently available on the CWAwebsite; 2.
The student’s mindset, for without a positive and determined- to-succeed mindset driving his practice regime, the student will more-than-likely fail to meet his and CWA goals. In January, the level of both determining factors was unknown.
Our advisor was new to the game, leading his first advanced course. My luke-warm, suck-it-and-see attitude from years of 18 wpm traffic handling didn’t bode well. With those two facts in mind, my goals were modest: 1.
To support Chris VK3QB in his first-time role, if not in any practical sense then at least numerically; 2. to push up my head copy from 18 wpm, to reliably read and hopefully send conversational Morse at 25 wpm, even if it was only to match CWA course specification and not let the team down.
As always, goals are achieved only by those with the right mindset. With my mindset less than ideal, it was fortunate that the other participants were displaying the right mindset from day one, and it was infectious.
Add to that Chris’s guidance, then it was peer pressure which ensured a decent improvement in my attitude towards daily practice. We all quickly realised that reliance on the bare CWA advanced curriculum might not cut it.
Apart from a choice of speeds, the sound files were repetitive and atypical of conversational Morse. As the weeks rolled by, to avoid failure and even possibly drop out, we supplemented the curriculum with plain text recordings and call signs at 30 wpm.
Setting a speed goal higher than the CWA course specification would, we figured, provide valuable head-toom.
And so it did. Anumber of useful resources to widen our exposure to 30 wpm CW were introduced, discussed and implemented.
My somewhat lackadaisical attitude had to be banished entirely to allow the group’s infectious mindset to fully take control of this back-row seater and move me forward in order to participate in a more symbiotic way, necessary to fulfil my goal to support our advisor.
On the sending side, daily CWA warm up exercises proved useful, additional extra- curricular pangrams even more so. Sending at 30 rather than 25 wpm also provided useful head-room.
The only difficulty was encountered changing down a gear to 25 wpm during class meetings; it took some time to re-sync my brain-to-fist bio- feedback loop. ‘Two days before our 16TH meeting at the end of week 8, we were suddenly faced with afinal assessment.
There was no warning and the content was inconsistent with the curriculum – which provided evidence that all the various supplementary material we introduced was more important than originally thought.
The test was very straight forward once we understood how it worked, and led to my second goal being achieved, albeit without any obvious sending test.
The second goal was assessed by more than just the online test: our advisor had been assessing our sending at various stages throughout the course, adjusting the sails as required; ultimately the assessment was holistic.
Do we now have the full range of CWA courses available in Oceania? That will be for Chris to decide. For anyone is in doubt about the efficacy of the local Oceania advisor, mentor or whatever you want to call the CWA course leadership function, doubt no longer, Chris has acquitted himself in fine style.
I can thoroughly recommend to anyone wanting to up-skill their Morse, be sure to grab a front-seat place at the appropriate-level at the next CWA Oceania opportunity; it really is a good idea to ‘shop locally’.

CWops 5 March 2026
As promised last week, some feedback from students in the CW Academy classes. We have now completed the classes for the semester. It is extremely rewarding to see the enthusiasm and improvement from every single student.
We ran classes for Beginners, Intermediate, Advanced. Speeds reported as 25/15 indicate a character speed of 25 wpm with Farmsworth to slow to a word speed of 15 wpm. This is a proven method for effective teaching of the code.
Some feedback from students: The structure and discipline of meeting twice a week is great; it fosters a sense of itabili 1d derie. Practi ic rk. The rks I can now report I am comfortable and getting good results at 26/15, and on a good day 25/18.
I am really pleased about that, I know this will get better if { keep up the drills and head copy practice. (Jim VK7JZ – Intermediate) Gradually over time, we increased both the copy and sending speeds and ended the course with a copy speed of 20/10 (20 wpm character speed and 10 wpm Farnsworth) and a sending speed of 18/9 (18 wpm character speed and 9 wpm Farnsworth).
(Jared VK2LDJ — Beginner) Feeling more confident and relaxed in my sending. Feeling comiortable in sending up to approx 25 wpm, and pushing to 30 wpm. Achieving an understanding of the issues I face, are common amongst all students.
(Anon — Intermediate) I can wholeheartedly recommend the CWA courses and their excellent methodology, I doubt I would have every got on the air without it. (Darrin VK3VDP — Beginners) One of my reasons for learning CW was to help me develop my interest in POTA.
I’m ‘on the cusp of going that way. (Bob VK6POP — Beginners) ‘Now I’m copying callsigns and QSOs at around 22/12, and sending at about 22/15. My sending is definitely stronger than my copying at this stage, but both have improved massively.
(Paul VK10Z — Beginners) The thrill — and it has been a thrill — of some of the DX contacts and 25+ wpm local extended QSOs I have made on air after calling CQ at 26 wpm at Chris’s prompting

(even if these exchanges did feel like pretty nervous encounters at the time). (Peter VK3WOW — Advanced) If you are a POTA/SOTA/WWFF operator and want to sharpen your skills, or just wanting to improve your sending and copying skills, these classes are proven and effective.
The next round of CWA will be in May — June and I’ll be calling for expressions of interest in late March.
Morse Code Zoom Forum
The next Morse Code Forum is 16TH March at 08:30 UTC This month Pl have a chat with a few graduates from the CW Academy Classes which finished up at the end of February.
This should be interesting for anyone considering learning the code, polishing up their skills, or looking to fuel it to the next level. Ifyou have questions prior, please send me an email.
Join the Zoom Meeting — Click the link below, and include your name and callsign when in the waiting room so Chris can admit you to the session.
More info at https://morsecodesessions.wordpress.com/zoom-details/ As noted last week, FISTS Down Under, the VK & ZL chapter of the Morse Preservation Society has kicked off a weekly activity, the Wednesday Wrap.
This replaces the Friday night QSO Party which was up for some fresh energy. Everyone is welcome and you can read more here: https://www.fdu.org.au/events/ FDU publishes a monthly newsletter which contains articles which may interest everyone.
Joining FISTS Down Under is free and easy — just head to their website and follow the links. Members automatically receive an email when the newsletter is published. All newsletters can be accessed on the website as well.
Hittps://www.fdu.org.au/ 73, Chris VK3QB CWops #2949 vk3qb@hotmail.com
CW Practice
This year we’re using Aesop’s Fables. These are short moral stories, often using talking animals, that illustrate simple truths about human behaviour and character.
‘Aesop’s Fables originated in ancient Greece, traditionally attributed to the storyteller ‘Aesop who is thought to have lived around the 6th century BCE.
The fables are generally smaller files of two to three hundred words that have been recorded at 15 wpm and run for about 15 minutes.
If 15 wpm is a bit quick for you, load it onto your phone and set the playback speed at 0.75 X or even 0.5 X- whatever works for you. 0.75 X will play the MP8 at a bit under 12 wpm. Itis suggested that you read the text file before listening to the audio file.
That will make it easier to follow the audio file and prepare you for any unusual words. Any punctuation that is not usually used with CW has been removed. This week’s fable is ‘The Mice in Council’, and the TXT and MP3 files are attached here –


And thanks to Simon MOKB4 for his special interpretation of Aesop, apparently activating a Park. If you prefer a different speed or tone you can create your own MP3 files by converting the text file with the Ebook2CW app — https://fkurz.net/ham/ebook2cw.html.
You can either play the MP3 files in any media player, or load the text file into the Ditto CW: Morse Player app — https://dittocw.andro.io/.
Both options work well, however Ditto CW gives you complete control over all Morse settings, while a normal media player only allows changes to playback speed, and does that in steps (e.g. +1.25x, 1.5x, 1.75x).
Other News
Readers’ Comments.
Anonymous Great RagChew – thank you. This is the second best thing about the week, with the first being Tuesday night [Thank you Anonymous…. and a bigger thank you to every one of the 39 people who contributed to make it such a good read.
Hi Mark, Thanks again for all the work you do coordinating and advertising the CWQRS Net, Its a real highlight and makes me try to get on the air regularly which required a fair bit of motivation when you have to set up a portable station rather then going into the shack and spinning the VFO 🙂

Image Re-sizing Software
From Andrew VK1DA On the PC I use Irfanview software for image re-sizing. The application is free and very powerful, it understands all pic formats and some videos.
Anyone who can learn the English language, let alone the 40 character Morse code, can learn how to resize a photo. Irfanview can also crop, rotate and change brightness and contrast in a photo. Everyone using a PC should use it. Andrew VK1DA / VK2DA

QRZ? Not! on the Olivetti!
From Mark VK2DI Geez I’d be in my 90s if that were a photo of me! I was actually about 20 and the photo is of another RO who was probably in his 40s at the time – can’t remember his name.
I was hosting a visit of JA3SVG, Hiro, at Sydney Radio (VIS) when Hiro took the photo then sent me a copy later.
At the Australian Coastal Radio Service, the HF positions (8, 12, 16 & 22MHZ) were arranged as four 90 degree segments on a large circular work area.
Main tuneable receivers then were Collins 51J4 but we had other synthesised stuff like the ITT Mackay Marine 3020. After the traffic list was sent, we’d tune across the calling frequency band and ships who wanted to exchange their traffic would sit there calling us.
We’d ID them one by one, work them and move on to the next one. Messages were typed on paper sheets about A5 size and collected for further transcription to teletype (baudot, 75 baud) and sent out on the telegram network.
Hard to believe how far communication has come over 50 years.
Cheers, Mark VK2DI
Morse Training Net
Our team member Nic VK7WW runs an on-air Slow Morse training net every Wednesday at 7pm EDST on 3580 for 30 mins. He uses the callsign of the Northern Tasmania Amateur Radio Club VK7TAZ on that net.
Many of our team learned Morse code with the support of Nic, and the weekly training session comes highly recommended for anyone who wants to learn the Code, or simply brush up.
Everyone’s welcome – 3580KHZ at 7pm Eastern time every Wednesday; you’ll hear lots of the CQQRS team on that net. Jordan VK3ACU has recorded the complete set of lessons which you can now find here:

Https://www. youtube.com/playlist?list=PLHsQmZz6fBXO7swAfbT mutrbbEL17fUQL Contact Nic VK7WW for more info nicholaschantler@hotmail.com including how to join the NTARC DISCORD group to follow the action, or just come along and join in on Wednesdays.

UnOrdal VUCIING – TOUF FNOUgGMSS Let the Discussion Begin
From Mark VK2KI / VK6QI As I discussed after Ross MONNK’s outstanding Other Topic of Interest article in
The newsletter above, I hope the article and the previous one on the topic in RagChew 39/2025 will generate comment, discussion, experiences etc from our readers. So I’d like to kick off the discussion with some comments.
Thought: First I think Ross’ explanation about what might be happening when electromagnetic energy of the frequency concerned encounters the weakening F- layer may be easier to understand if we think in the following terms: + Rather than thinking of the ionosphere as a reflector, instead consider it as a refraction medium.
* When light encounters a medium with different characteristics to current, depending on the angle of incidence, it may be reflected, may pass through, or may bend.
* With the ionosphere, at some angles for a particular frequency, our EM energy could be bent enough to appear to be reflected, at some angles it could pass straight through, but at a critical angle, it will be refracted to parallel the discontinuity (and hence ‘ducted’ along the discontinuity).
Thought: Dusk and dawn happens at the ionosphere later and earlier than on the ground so timing of changes won’t be the same as local time. Thought: When ionospheric dusk happens, the F1 and F2 layers combine into a single F layer.
Could our Chordal ducting have something to do with this merging as the layers close together? Thought: The ionospheric layers are thick as we’ve discussed before when thinking about the one-way propagation we often experience on 40m and 80m across Australia as darkness settles; the higher areas will receive solar radiation later than the lower areas, so a sloping gradient may be formed.
Could this sloping gradient produce the entry or more likely, exit points for the chordal ducted EM energy? Thought: What sort of experiments might Ross and the DXperiment team set up to gather evidence about the various options?
For example, would chordal ducting create something measurable compared to the traditional ionospheric-ground reflection/refraction scenarios – ie are there some things we could look for that might point to one or the other mechanism?
Eg using the RBN to check for signals at the expected landing points for multi-hop propagation versus nothing if only chordal ducting is happening perhaps?
Thought: Once we have some sort of handle on chordal ducting through the darkened ionosphere, we might start thinking about the apparent propagation up and down the grey line (ie roughly North-South).
What Now?
Want to learn a bit more? You could try the Australian Bureau of Meteorology Space Weather Service’s Introduction to HF Propagation.
As I said after Ross’ article, the Scientific Process goes along the lines roughly of observing something, creating a bunch of possible explanations, coming up with a way to test each explanation (eg via bunch of if-this – then-that type propositions) to do some experiments to try to disprove each explanation (you can’t prove an explanation unless it’s able to be broken down into basic indisputable facts mathematically, so instead, we use experimentation to disprove as many as we can – leaving the remainder to speculation!).
Time for another Bex and little lie down. So hopefully, my thoughts, and the thoughts of readers in follow-up newsletters will create a bunch of possible explanations and experiment fodder. Who said experimentation is dead?
Probably the same people who said we already know everything so our nation’s (or nations’) science programs can be pared-down. Your thoughts please team? cagrsnet@gmail.com

Aspects of the proposed changes to the Amateur Radio band plans in Australia. As a result of that feedback, further revisions were made to a number of bands, including: – 6m (SSB segment widened), – 80m and 160M AM Centres of Activity chosen (1870kKHz and 3686 kHz), – 40m Emergency Communications Channel revised to align with IARU Region 3 (7110 kHz) -as well as changes to the final proposal for 23CM, which was able to consider some late input from IARU Region 1.
We also clarified Amateur Television allocations, making it clear how FM Analogue ATV still fit within the band plans from 23CM to 3 cm and revamped further the 9cm band plan taking into account feedback received.
The rest of the changes followed the original proposals which were supported based on the feedback received. Full step by step details of the outcomes for each of the proposed changes can now be seen in the“WIA Band Plan Consultation 2025 – Outcomes’ information paper published by the WIA TAC Committee.
This paper is available on our consultation’s webpage here: Link https://www.wia.org.au/members/tac/consultation/. The WIA board voted to endorse the final papers at their February board meeting.
The revised band plan document has also been released, including a new introduction, updated graphics plus we have now released two band plan posters – one for LF to HF and one for VHF to SHF.
All of the band plan documents are available from the WIA website at: Link https://www.wia.org.au/members/bandplans/data/ The final step of this process will now commence which is to update the Amateur RALI licensing instructions to bring them into alignment with the new band plan.
That work should be complete within the next month. Thanks to the whole WIA TAC Team and to everyone who provided input to the consultation. Regards, Grant Willis, VKSGR WIA Technical Advisory Committee Chairperson
WIA Technical Advisory Committee Chairperson Email: tac@wia.org.au

Faint Beeps

2.85 metre folding Mil whip and “Slidewinder” coil on a camera tripod; ground wire going to a “MAT-50” magnetic grounding mat on the roof of the car. How my 20 Watts gets all the way to Australia through this set-up, I have no idea. Ross MONNK

Bendigo Amateur Radio & Electronics Club
Bendigo Amateur Radio & Electronics Club invites you to our March meeting. Joi Don VK3PDB as he provides an interesting presentation on the Gredgwin Remote Flex Radio site. Subjects covered will include: + What is Gredgwin Tower? * Where is Gredgwin Tower?
+ BAREC’s Acquisition of Gredgwin Tower. * Gredgwin’s driving force. * What does Gredgwin Tower bring to BAREC Members? + Why is Gredgwin Tower beneficial to Amateur Radio? * What does a remote facility provide?
* Who has provided in time support to the Gredgwin Project? The presentation commences at 7.30 pm, Friday March 20TH at BAREC Headquarters, Bendigo East Hall, 35 Lansell St. A gold coin donation would be appreciated, and a light supper will be provided.
For more information, phone Graeme on 0417 389 357. The presentation will be available live via Zoom. The details are below: Topic: ‘Gredgwin Remote Flex Radio Site’ – By Don VK3PDB Time: Friday March 20TH at 7.30pm AEDT.
Join Zoom Meeting: https://usO6web.zoom.us/)/844065310242 pwd=dkNUYXIDWnENbmk4MDhxQ21HZTBpZz09 Meeting ID: 844 0653 1024 Passcode: 535376 Regards, Graeme VK3GRK.

More on the 2m Hourglass Horizontally

| can confirm that the blob in those pictures is me, I saw the antenna working and was astounded.
Towards the north, with minor obstruction in that direction, the loop was producing stronger signals than the 4 element yagi on a 3.6m painter’s pole which is also pictured.
Switching between antennas using a good quality coaxial switch we were able to compare signal levels rapidly and easily and every time, the loop was at least as good as the yagi, which was recently built and adjusted for a perfect match on 144.2.
Coax feedline in both cases was RGS58 in good condition. The only signal that was noticeably poorer on the loop than the yagi was the VK2RSY beacon from Dural west of Sydney. It was a clear signal on the yagi, weak but identifiable easily by callsign.
On the loop antenna there was some additional noise making the S:N ratio slightly lower, also we listened to the beacon using a 3 element Arrow Yagi. it was lower than the signal from the 4 el yagi, but the Arrow antenna was only 1.5m above ground.
We started the testing referring to the antennas as Antenna 1 and Antenna 2, we did not say what each antenna was. All stations reported antenna 2 was slightly weaker than antenna 1. Even Carl VK2TP (at Wellington, 310 km) reported that. Antenna 1 was the loop.
Their reports confirmed the signals heard at our end. I’m convinced. I will build one myseff. Imagine a gain antenna you can carry in the backpack, it’s light and just needs mounting onto a fibreglass pole. There are articles in QST that can be referred to.
Https://www.arrl org/files/file/QST/This%20Month%20in%20QST/December2018/St anley.pdf_ where the builder used timber as the basis of the frame. Using the fibreglass poles we all are familiar with is much easier. Timber doesn’t collapse down toa 1 metre pole.
We discussed the antenna over a coffee later. We agreed that hams generally equate
Gain with “Yagi”. but that isn’t always the case. Certainly isn’t in this case. 73 Andrew VK1DA

Pub-Packing
Bee CANE ES From your editor Mark VK2KI / VK6QI Elizabeth and I have just returned home after three weeks ‘pub-packing’ – travelling on public transport and staying in pubs.
We’ve had a fair amount of low-carbon-use public- transport-only travel in recent years, but we decided this time to add a twist – we wanted to not arrange our travel and accommodation much in advance, staying in pubs along the

Way if we could. That meant we could only carry what we could carry… in backpacks. The MacBooks made the cut for the newsletter, but the QRP-Labs QMX didn’t; actually, at the time of writing, the kit still hadn’t turned up – so the QRP gods decided it wasn’t a happening thing apparently.


As it turned out, Nigel G4RWI (that’s the bloke with the terribly complicated VK/G4… callsign who’s been causing so much trouble on the net on this and previous visits) and Jo had called-in to say g’day again this time around, and do a spot of minor repair work on their motorhome before putting it on the market.
Lucky that they did – because our planned house-sitter had to cancel at short notice, and they were able to step up to the task.

So having sorted out the cat-sitting, we could decide whether to turn left or right when we set off. Actually, that was an easy question – we had tickets to Hamer Hall in Melbourne for our favourite – the Australian Chamber Orchestra.
V/Line coach to Albury, then train to Melbourne easy!
From there we tossed a coin – neither of us had been to South Gippsland before, so a next-day V/Line coach saw us land in a beaut spot called Port Albert. Very quiet outside of school holidays – perfect. Four nights became eight nights, became 12 nights.
Our accommodation had a small kitchen, but Food was a bit of a problem – the

Yarram supermarket was 17KM away. The Yarram Bowling Club’s courtesy bus was the first work-around, but someone told us that Coles did home delivery from Traralgon to Port Albert, for $2 a load!
So that became our food source, despite the sign at our accommodation advertising both “Good Food” and “Female Attendant”!

Our journey back toward home involved quite variable pub accommodation as you’d expect. From clean, neat and tidy to flea-pits – but we had fun.
The V/Line transport worked nearly perfectly – the very last leg involved waiting two hours ina warm bus stop because of connection delays (if you’re booked from A to B to

C, and you’re late into B, the B-to-C coach won’t leave until you arrive). For some reason, the very comfortable V/Line coach services aren’t yet GPS tracked on the customer Apps; however unlike the Victorian public transport that I remember from my time living in Melbourne in the 80s, the customer service (including the travel- agent-like 1-800 number) is outstanding these days.
So thanks largely to Nigel G4RWI and Jo for stepping up to the house-sitter role, Elizabeth and I had a really nice radio-less pub-packing experience. Where to next?
If you’ve heard something that you think might be of interest to our readers, please let me know. For guidance on writing for RagChew, see Articles below. Please email material to Mark VK2KI: cqqrsnet@gmail.com
Prosign/Character/Signal of the Month
[Suggestion – put it on a sticky note near your key as a reminder for Tuesday. Tell us how you went!]
Di-dah-di-dah-dit
Next Tuesday’s Net
Our CQQRS Group will be on as always on Tuesday from around 0600Z until about 12002; see https://bit.ly/CQQRSWebsite and navigate to the Net Details page for details.

Doesn’t matter whether you’re brand new and want to try just exchanging callsigns and RST reports, or you’re ready for a good old rag chew. We’ll have fun.
There’s usually people around until after 1200Z – so keep calling in the segment of the band designated in the table below until you catch someone.
I should be on as usual from home in NSW or via the Remote at Bedfordale WA, and I’ll also be watching the proceedings using the VK6QS and Tecsun SDRs in WA and NSW respectively. Hope to hear you there.
Reports & Photos
Please let us know via our Reports form bit.ly/CQQRSNET who you work or hear on Tuesday’s Group. The report form closes at lunchtime (Eastern Australian time) on Thursday. ‘And how about helping to make the reports even more interesting by sending a photo?
If you have a photo that you’d be happy to include, please email it to: cgarsnet@gmail.com To make it even easier for our Reports editor Patrick VK2IOW, see if you can reduce the size of the image (to less than 100KB file size by preference).
No problems if your computer or phone can’t do that – just send it through anyway please. And of course, I’m always on the lookout for more photos for the newsletter, so if you have something that might be of interest aside from the reports, please send it through as well – I always enjoy the photos that our readers send – and I’m sure our readers do too.
Email them to cqqrsnet@gmail.com please (reduced size if possible – but whatever you send will be great). Oh and by the way, I recommend that you don’t keep the Reports Form website open between submission of reports from one week to the next.
If you’re unlucky, there’s an undocumented feature in the software that could cause your current week’s report to be combined with your previous report – it’s happened to your editor several times – much to the chagrin of our Reports editor 🙂
Post Mortem
Richard VK6HRC will run our phone Post Morsum on the South West AllStar net (via repeaters and hotspots all over WA) from 0600 WA time, then from 0700 WA time on 80m (8605 LSB).
See https://bit.ly/CQQRSWebsite and navigate to the Net Details page for details of how you can connect via Echolink or even possibly via your local FM repeater.
The newsletter is interesting to readers because of the material contributed by so many people – be it the reports each week or the various articles. Could you write a short article or articles for RagChew? You bet! Writing not your strong point?
Don’t worry, I’m very happy to help as much or as little as needed. Here’s a thought – although our readers will much prefer your own writing, perhaps have a go at using a Large Language Model Artificial Intelligence tool such as ChatGPT, Microsoft Copilot or Google Gemini to check your writing or even to actually draft the whole article in a relaxed easy-to-read manner!
You can find out more about how to do that on the Newsletter page on our website bit.ly/CQQRSWebsite. Our website also includes a suitable prompt (the command you feed to the Al to make it do what you want).
Please remember though – you must fact-check anything that an Al tool drafts for you because Als ‘hallucinate’ – ie if an Al can’t find what you’re looking for, it will make up an answer and present it as afact!
This is one of the dangers of using Als – it’s quite probable that the tool will create a very readable and convincing draft that is 100% wrong! You as the submitter are responsible for fact-checking.
But it’s a learning experience – please let us know how you went if you had a go with this new generation of tool. And by the way – lam very concerned about our future in a world of Al – but I’m pleased to see that school and university curriculums now focus on understanding the risks – for instance, kids are now learning critical thinking something that used to be taught mostly at post-graduate level.
When the typewriter was invented, people predicted the downfall of handwriting; when the word processor was invented, the art of writing was thought to be on the way out – ditto for the spreadsheet and arithmetic, AM, SSB and FT-8 for amateur radio etc.
We can ignore Al and hope that it just goes away… or we can learn to handle it through experimentation and use. Oh, and one more thing (actually two) – copyright material: * please use your own images – don’t use images copied from the internet unless you have the producer’s permission, or they’re marked ‘Creative Commons’ or similar; * if you include other peoples’ written material, unless you have permission, you may only include small snippets (unless it’s marked ‘Creative Commons’ or similar), and you’ll need to site the source and author.
For more guidance on writing for the RagChew newsletter (including help with using an Al), head to our website bit.ly/CQQRSWebsite then click the menu on the top right and then click RagChew Newsletter.
Material
Areminder; if you send me any information by email, our report form or WhatsApp – unless you specifically state that material is not to be published, I’ll assume that you’re happy to see your thoughts in the RagChew newsletter.
Teamwork
Thank you so much to our team of 46 contributors: DL3YZ, MOKBJ, MONNK, VKIDA, VK2DI, VK2DLF, VK2IOW, VK2RU, VK2TIG, VK2WP, VK3ACU, VK3BWN, VK3CLD, VK3DRQ, VK3ECH, VK3GRK, VK3QB, VK3WOW, VK4CEG, VK4EV, VK4IM, VK4PN, VKSAV, VK5CZ, VKSET, VKBGR, VKSKFG, VK6HRC, VK6JDM, VK6KD, VK6KHZ, VK6LD, VK6MTF, VK6NW, VK6PZT, VK6RR, VK6WE, VK6XC, VK7JZ, VK7ME, VK7TA, VK7WW, VK8MC, WB2GDZ, ZL8ABX and ZL3TK.
And a special thank you to our editorial team, Nigel G4RWI (head of software development), Patrick VK2I0W (reports coordinator), John VK2RU (spreadsheet pilot), Richard VK6HRC (Post Morsition) and Lance VK7TO (archiving bit wrangler).
Great work alll UY CW on Tuesday, mb Mark Bosna VK2KI/ VKEQI Beautiful South Bowning NSW ‘eqarsnet@gmail.com non impedit ratione cogitationis


An Ode to CW – thanks to David VK3RU: In days of old, when ops were bold, And sideband was not invented, Words were passed by pounding brass, And all were quite contented. – Unknown author
About the CQ QRS Net
For the current schedule and more information about the CQQRS net, please go the the Net Details page on our website:

The opinions expressed in the RagChew newsletter are those of the individual contributors. The opinions do not necessarily reflect that of the editor or of the CQQRS Group members.
Any material and images received from members by the editor or published on the CQQRS WhatsApp groups may be published in this newsletter unless specifically requested otherwise.
The RagChew newsletter is considered to be exempt from the Australian Government’s ban on social media for under 16 year olds because it is a service that has the primary purpose of enabling users to share information about products or services, engage in professional networking or professional development services or of supporting the education of users per the Australian Government eSafety Commissioner FAQ webpage “Which platforms have been excluded from the age restrictions” dated 10DEC25.
The values, doctrine and guidelines for the Group and for the newsletter are published on the Principles page of the group’s website https://bit.ly/CQQRSWebsite